Đề thi thử vào lớp 10 môn Tiếng Anh của Trường Trung học cơ sở Thái Thịnh (Hà Nội)
Đề thi thử vào lớp 10 môn Tiếng Anh của Trường Trung học cơ sở Thái Thịnh gồm 40 câu, thời gian làm bài trong 60 phút.
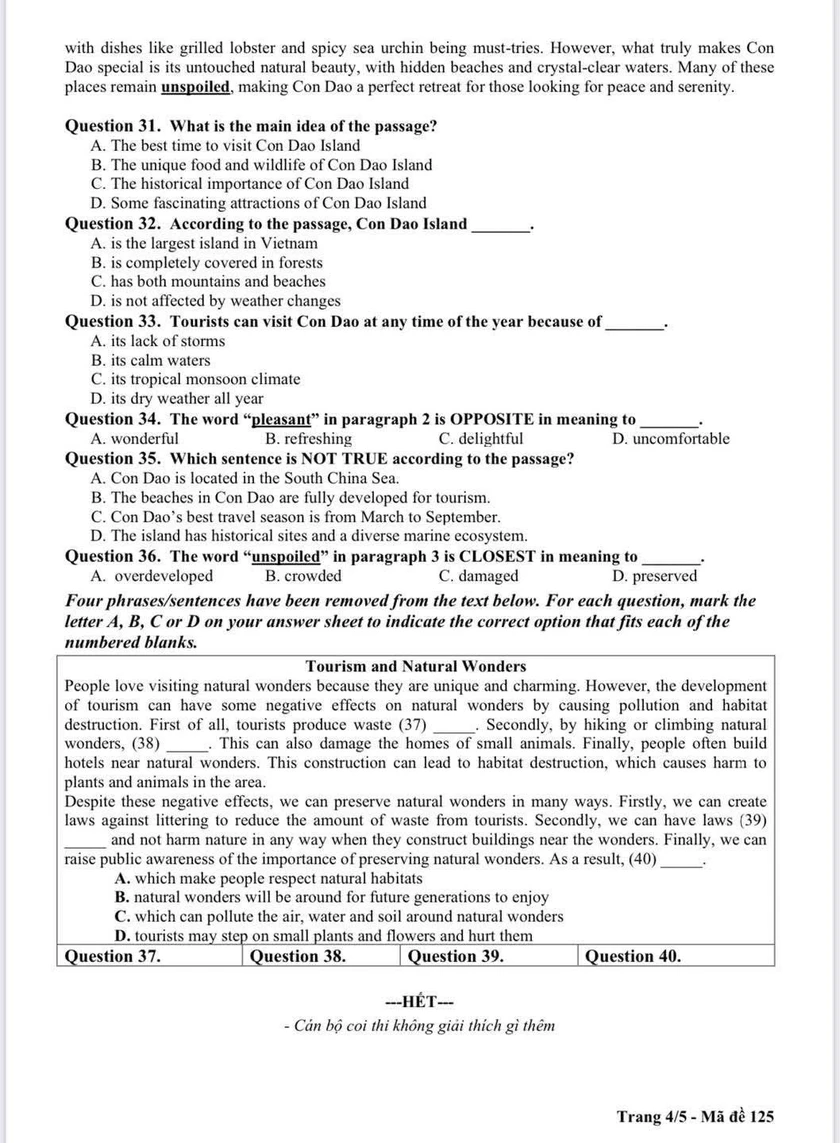
Dưới đây là đề thi thử vào lớp 10 môn Tiếng Anh của Trường Trung học cơ sở Thái Thịnh, Hà Nội năm 2026:




Kỳ thi tuyển sinh vào lớp 10 trung học phổ thông công lập năm học 2026-2027 tại Hà Nội diễn ra từ ngày 30/5-1/6.
Sở Giáo dục và Đào tạo Hà Nội tổ chức 3 bài thi độc lập, gồm: Toán, Ngữ văn, Ngoại ngữ. Với bài thi Ngoại ngữ, thí sinh đăng ký một trong các thứ tiếng: Tiếng Anh, Tiếng Pháp, Tiếng Đức, Tiếng Nhật, Tiếng Hàn (thí sinh được đăng ký thi thứ tiếng ngoại ngữ khác với thứ tiếng ngoại ngữ đang học tại trường trung học cơ sở).
Về hình thức thi, bài thi môn Toán và Ngữ văn thi theo hình thức tự luận, thời gian làm bài là 120 phút/bài thi. Bài thi môn Ngoại ngữ thi theo hình thức trắc nghiệm khách quan, thời gian làm bài là 60 phút; có nhiều mã đề thi trong một phòng thi đảm bảo nguyên tắc: 2 thí sinh liền kề không trùng mã đề; thí sinh làm bài thi trên phiếu trả lời trắc nghiệm; kết quả bài thi của thí sinh trên phiếu trả lời trắc nghiệm được chấm bằng phần mềm máy tính.
Đề thi gồm các câu hỏi phù hợp với yêu cầu cần đạt của môn học và mục tiêu cấp trung học cơ sở thuộc Chương trình giáo dục phổ thông 2018, chủ yếu nằm trong chương trình lớp 9 cấp trung học cơ sở.
Bình luận
Thông báo
Bạn đã gửi thành công.
Đăng nhập để tham gia bình luận
Đăng nhập với
Facebook Google