Đại học Quốc gia Hà Nội công bố phổ điểm 3 đợt thi đánh giá năng lực 2026
Viện Đào tạo số và Khảo thí - Đại học Quốc gia Hà Nội vừa công bố phổ điểm kỳ thi đánh giá năng lực học sinh trung học phổ thông (HSA) của 3 đợt thi đầu tiên năm 2026.

Thí sinh dự thi HSA. Ảnh: VNU
Kỳ thi đánh giá năng lực HSA của Đại học Quốc gia Hà Nội năm 2026 gồm 6 đợt thi, diễn ra từ ngày 7/3 đến ngày 24/5 tại Hà Nội, Hải Phòng, Ninh Bình, Hưng Yên, Thái Nguyên, Thanh Hóa, Nghệ An, Hà Tĩnh.
Qua 3 đợt thi đầu tiên của năm 2026, có 57.240 thí sinh dự thi trên tổng số 57.950 thí sinh đăng ký (đạt 98,8%). Trong đó có 10 thí sinh vi phạm kỷ luật.
Phân tích kết quả của 57.230 thí sinh trong 3 đợt thi đầu tiên năm 2026 cho thấy phổ điểm thi HSA có dạng phân phối chuẩn, với điểm trung bình (78,2/150) gần như trùng khớp với điểm trung vị (78,0/150), độ lệch chuẩn 14,8 và dải điểm trải rộng từ 22 đến 129.
Điểm cao nhất 3 đợt thi HSA đầu tiên năm 2026 là 129/150, điểm thấp nhất là 22/150. Tỉ lệ thí sinh đạt mức điểm ≥ 110/150 chiếm khoảng 1,88%; mức điểm ≥ 105/150 chiếm khoảng 4,23%; mức điểm ≥ 100/150 chiếm 8,50%; mức điểm ≥ 90/150 chiếm 23,1%; từ 80/150 trở lên chiếm 45,2%; từ mức điểm 75/150 trở lên đạt 58,00%.

Phổ điểm bài thi đánh giá năng lực (HSA) đợt thi 1,2,3 năm 2026 của Đại học Quốc gia Hà Nội. Ảnh: VNU
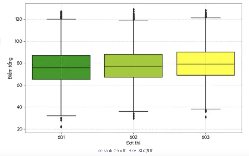
Thống kê điểm thi 3 đợt thi đầu tiên năm 2026 cho thấy, không có chênh lệch lớn về phân bố điểm thi HSA trong 3 đợt thi 601, 602 và 603.

Phân bố điểm thi HSA của các đợt thi 601, 602, 603 năm 2026. Ảnh: VNU
Kỳ thi HSA năm 2026 được tổ chức 6 đợt thi từ tháng 3 đến tháng 5 tại nhiều tỉnh, thành phố. Tổng số có hơn 120.000 thí sinh đăng ký dự thi. Kết quả bài thi được sử dụng tuyển sinh bởi hơn 100 trường đại học trên cả nước.
Đề thi HSA được thiết kế đánh giá các năng lực cốt lõi của học sinh bám sát định hướng của Chương trình giáo dục phổ thông ban hành năm 2018 của Bộ Giáo dục và Đào tạo.
Các mã đề thi của các thí sinh được tổ hợp tự động bằng phần mềm trên cơ sở quy tắc sinh đề theo ma trận chung giúp tăng tính khách quan, kiểm soát chặt chẽ các nội dung bảo mật, giảm sai số, cân bằng độ khó tương đương giữa các mã đề thi đảm bảo sự công bằng cho các thí sinh.
Trong đề thi chính thức có một số câu hỏi thử nghiệm không tính điểm (thí sinh được cộng thời gian làm bài cho các câu hỏi thử nghiệm).
Bài thi HSA 2026 có cấu trúc 3 phần, tổng điểm tối đa 150 trong 195 phút:
Phần 1: Toán học và xử lý số liệu (50 câu, 75 phút).
Phần 2: Ngôn ngữ - Văn học (50 câu, 60 phút).
Phần 3: Lựa chọn - Khoa học/Tiếng Anh (50 câu, 60 phút). Thí sinh chọn 3 trong 5 chủ đề: Vật lí, Hóa học, Lịch sử, Địa lí hoặc Tiếng Anh.
Bình luận
Thông báo
Bạn đã gửi thành công.
Đăng nhập để tham gia bình luận
Đăng nhập với
Facebook Google